Pendahuluan
Matematika sering dianggap sulit oleh sebagian siswa, terutama ketika membahas barisan dan deret aritmatika. Padahal, jika dipahami dengan cara yang benar, konsep ini sangat mudah dan bahkan sering muncul dalam kehidupan sehari-hari — misalnya ketika menghitung kenaikan gaji tahunan, jumlah kursi dalam pola, atau jarak antar titik pada garis lurus.
Artikel ini akan membahas secara lengkap tentang pengertian barisan aritmatika, rumus umum, dan contoh soal barisan aritmatika yang sering keluar di ujian. Yuk, simak penjelasannya dengan langkah-langkah yang mudah dipahami!
Pengertian Barisan Aritmatika
Barisan aritmatika adalah barisan bilangan yang memiliki selisih tetap (beda) antara setiap dua suku yang berurutan. Selisih tersebut disebut dengan beda (d).
Contoh sederhana:
2, 4, 6, 8, 10, …
Pada contoh di atas, setiap suku bertambah 2 dari suku sebelumnya, sehingga beda (d) = 2.
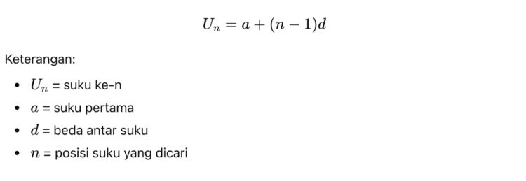
Rumus Umum Barisan Aritmatika
Untuk mencari suku ke-n dari barisan aritmatika digunakan rumus berikut:

Contoh Soal Barisan Aritmatika dan Pembahasannya
Berikut beberapa contoh soal barisan aritmatika mulai dari yang mudah hingga menengah beserta pembahasannya.
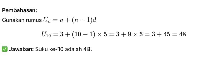
Contoh Soal 1: Mencari Suku ke-n
Diketahui suatu barisan aritmatika memiliki suku pertama ( a = 3 ) dan beda ( d = 5 ).
Tentukan suku ke-10 dari barisan tersebut.

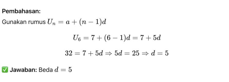
Contoh Soal 2: Menentukan Beda Barisan
Diketahui ( U_1 = 7 ) dan ( U_6 = 32 ). Berapakah beda (d) barisan aritmatika tersebut?

Contoh Soal 3: Mencari Jumlah n Suku Pertama
Diketahui barisan aritmatika: 2, 5, 8, 11, 14, …

Contoh Soal 4: Menentukan Banyaknya Suku
Sebuah barisan aritmatika memiliki suku pertama ( a = 4 ), beda ( d = 3 ), dan suku terakhir

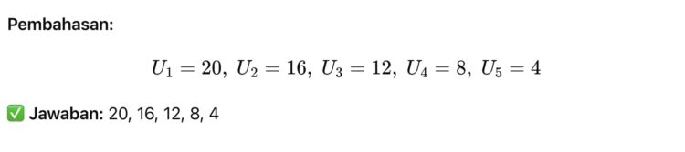
Contoh Soal 5: Barisan Aritmatika Negatif
Tentukan 5 suku pertama dari barisan aritmatika dengan suku pertama ( a = 20 ) dan beda ( d = -4 ).

Aplikasi Barisan Aritmatika dalam Kehidupan Sehari-hari
Konsep barisan aritmatika tidak hanya penting di sekolah, tetapi juga sering digunakan dalam kehidupan nyata, seperti:
- Keuangan: menghitung cicilan atau tabungan dengan kenaikan tetap setiap bulan.
- Konstruksi: mengatur jarak antar tiang atau bata yang seragam.
- Pendidikan: menentukan nilai rata-rata kenaikan skor ujian.
- Bisnis: memperkirakan kenaikan harga barang setiap periode tertentu.
Dengan memahami pola aritmatika, seseorang dapat membuat prediksi dan perhitungan yang lebih akurat dalam berbagai bidang.
Tips Cepat Mengerjakan Soal Barisan Aritmatika
- Tuliskan data yang diketahui dengan jelas. Misalnya nilai ( a ), ( d ), dan ( n ).
- Gunakan rumus dengan hati-hati. Banyak kesalahan terjadi karena salah menempatkan tanda +/−.
- Cek kembali hasil akhir. Jika hasilnya tidak masuk akal (misal negatif untuk konteks positif), berarti ada kesalahan perhitungan.
- Latih dengan variasi soal. Semakin banyak berlatih, semakin cepat mengenali pola.
Latihan Soal Barisan Aritmatika (Mandiri)
Coba kerjakan beberapa soal berikut tanpa melihat pembahasan, lalu periksa jawabanmu menggunakan rumus!
Latihan 10 Soal Aritmatika
Waktu tersisa: 10:00
💡 Tutup browser dan kembali lagi untuk mengulang latihan soal ini.
Kesimpulan
Barisan aritmatika adalah dasar penting dalam mempelajari pola bilangan dan logika matematika. Dengan memahami rumus ( U_n = a + (n – 1)d ) dan ( S_n = \frac{n}{2} [2a + (n – 1)d] ), siswa dapat menyelesaikan berbagai contoh soal barisan aritmatika dengan lebih mudah dan percaya diri.
Teruslah berlatih agar lebih mahir, karena konsep ini juga akan sangat membantu ketika belajar deret aritmatika, geometri, dan materi matematika tingkat lanjut.